Scholarship
PTVA Vidyavachaspati
Alumni
Research
Minutes
Library
Gallery
Admission
8097345311
|
8097876255
|
9082101135
|
9082164576
mccmulund@gmail.com
8097345311
8097876255
Visitors:
854910
Parle Tilak Vidyalaya Association's
MULUND COLLEGE OF COMMERCE (AUTONOMOUS)
NAAC "A" GRADE RE-ACCREDITED (III Cycle) 2016 - 2026
Admission Portal
Scholarship
PTVA Vidyavachaspati
Alumni
Research
Minutes
Library
Gallery
Admission
Admission Portal
Home
About
Vision and Mission
College Management
Principal's Message
Organogram
Milestones
Code of Conduct
Statuatory Bodies
Activity Committees
Programmes
Graduate Programme
Post Graduate Programme
PhD Programmes
IQAC
IQAC
NAAC
NIRF
Jr. College
Teaching Staff
Result Analysis
SMAF/Scholarship/Freeship
Notice
Timetable
Sports
Cultural
Committee
Special Days
Examination
Autonomous
Administrative
Staff
Cultural Committee
Common Notice
Home
Examination
Common Notice
B.Com Aided
School of Business and Media Studies
School of Computing and Technology
BAF/BBI/BFM/BFSI
M.Com/MSc.Finance
Degree Exam Manual
Unfair Means Enquiry
Common Notice
REVALUTION AND PHOTOCOPY OF AF BI FM BMS BAMMC BBA SEM II IV AND VI
ATKT FEES SCHEDULE FOR AUTONOMOUS STUDENTS
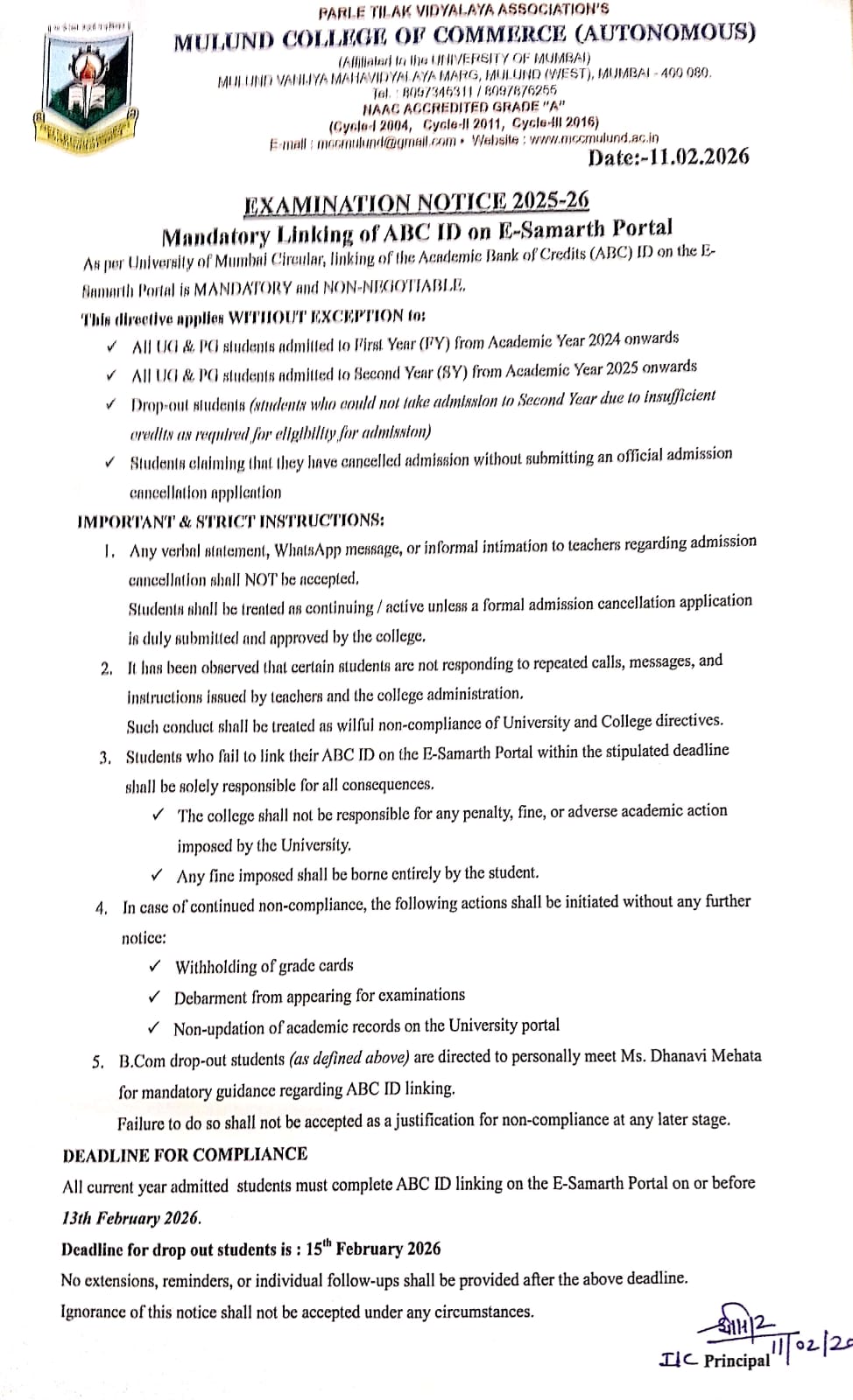
NOTICE-LINKING IF ABC ID ON E-SAMRARTH PORTAL
SFC ATKT SCHEDULE FOR NEP STUDENT S SEM I ,III AND V FEB 2026
SFC ATKT SCHEDULE FOR AUTONOMOUS STUDENT SEM I TO VI FEB 2026
SFC REVALUATION RESULT OCTOBER 2025
REVALUATION NOTICE BAF/BBI/BFM SEM I AND III REGULAR OCT 2025
CONVOCATION LIST 2024-2025 BATCH
CONVOCATION NOTICE 2024-2025 PASS OUT BATCH
ATKT FORM SCHEDULE BSCCS/BSCIT/BSCDS/BCA SEM I, III V
ATKT FORM SCHEDULE BAF/BBI/BFM/BMS/BAMMC/BBA SEM I, III V
ATKT FORM SCHEDULE BCOM SEM I, III V
REVALUTION NOTICE SEM I , III AND V
ATKT NOTICE FOR BCOM DEGREE COLLEGE FOR AUTONOMOUS II,IV AND VI NOV 2025
SFC ATKT FORM NOTICE FOR AUTONOMOUS STUDENT
FEES SCHEDULE-ATKT WITH SUPERLATE FEES ALL COURSES UG+PG
ATKT NOTICE FOR MASTERS II AND IV SEM SEP 2025
ATKT NOTICE FOR SFC DEGREE COLLEGE II,IV AND VI SEM SEP 2025
ATKT NOTICE FOR BCOM DEGREE COLLEGE II,IV AND VI SEM SEP 2025
NOTICE FOR CONVOCATION
LIST OF CONVOCATION 2024-2025
EXAMINATION NOTICE
Revised ATKT Rules
ATKT Late Fees Notice
Examination ATKT Degree College
Examination Degree College
B.Com ATKT Fees